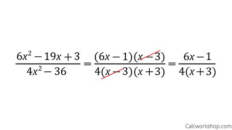
Write The Rational Expression In Simplest Form Calculator . To solve a rational expression start by simplifying the expression by finding a common factor in the numerator and denominator and canceling it. Byju’s online rational expression calculator tool makes calculations faster and easier.
SOLVEDWrite each expression in simplest radical form. If a radical from www.numerade.com
This calculator factor both the numerator and denominator completely then reduce the expression by canceling common factors. Find more mathematics widgets in. Get the free simplifying rational expressions widget for your website, blog, wordpress, blogger, or igoogle.
SOLVEDWrite each expression in simplest radical form. If a radical
Find more mathematics widgets in. This calculator factor both the numerator and denominator completely then reduce the expression by canceling common factors. The result is displayed in a fraction of seconds. To solve a rational expression start by simplifying the expression by finding a common factor in the numerator and denominator and canceling it.
Source: www.numerade.com
Write The Rational Expression In Simplest Form Calculator - This calculator factor both the numerator and denominator completely then reduce the expression by canceling common factors. The result is displayed in a fraction of seconds. Byju’s online rational expression calculator tool makes calculations faster and easier. Find more mathematics widgets in. To solve a rational expression start by simplifying the expression by finding a common factor in the numerator.
Source: www.numerade.com
Write The Rational Expression In Simplest Form Calculator - This calculator factor both the numerator and denominator completely then reduce the expression by canceling common factors. The rational expression calculator is a free online tool that displays the rationalized form for the given expression. Find more mathematics widgets in. Byju’s online rational expression calculator tool makes calculations faster and easier. The simplification calculator allows you to take a simple.
Source: www.numerade.com
Write The Rational Expression In Simplest Form Calculator - This calculator factor both the numerator and denominator completely then reduce the expression by canceling common factors. The simplification calculator allows you to take a simple or complex expression and simplify and reduce the expression to it's simplest form. To solve a rational expression start by simplifying the expression by finding a common factor in the numerator and denominator and.
Source: www.numerade.com
Write The Rational Expression In Simplest Form Calculator - The rational expression calculator is a free online tool that displays the rationalized form for the given expression. This calculator factor both the numerator and denominator completely then reduce the expression by canceling common factors. The result is displayed in a fraction of seconds. Byju’s online rational expression calculator tool makes calculations faster and easier. The simplification calculator allows you.
Source: www.numerade.com
Write The Rational Expression In Simplest Form Calculator - Byju’s online rational expression calculator tool makes calculations faster and easier. This calculator factor both the numerator and denominator completely then reduce the expression by canceling common factors. The result is displayed in a fraction of seconds. Find more mathematics widgets in. To solve a rational expression start by simplifying the expression by finding a common factor in the numerator.
Source: www.numerade.com
Write The Rational Expression In Simplest Form Calculator - Find more mathematics widgets in. This calculator factor both the numerator and denominator completely then reduce the expression by canceling common factors. To solve a rational expression start by simplifying the expression by finding a common factor in the numerator and denominator and canceling it. Byju’s online rational expression calculator tool makes calculations faster and easier. The result is displayed.
Source: studyngokufikaym.z21.web.core.windows.net
Write The Rational Expression In Simplest Form Calculator - The result is displayed in a fraction of seconds. Byju’s online rational expression calculator tool makes calculations faster and easier. Find more mathematics widgets in. To solve a rational expression start by simplifying the expression by finding a common factor in the numerator and denominator and canceling it. Get the free simplifying rational expressions widget for your website, blog, wordpress,.
Source: www.numerade.com
Write The Rational Expression In Simplest Form Calculator - This calculator factor both the numerator and denominator completely then reduce the expression by canceling common factors. Get the free simplifying rational expressions widget for your website, blog, wordpress, blogger, or igoogle. Byju’s online rational expression calculator tool makes calculations faster and easier. To solve a rational expression start by simplifying the expression by finding a common factor in the.
Source: www.chegg.com
Write The Rational Expression In Simplest Form Calculator - Get the free simplifying rational expressions widget for your website, blog, wordpress, blogger, or igoogle. The rational expression calculator is a free online tool that displays the rationalized form for the given expression. This calculator factor both the numerator and denominator completely then reduce the expression by canceling common factors. The result is displayed in a fraction of seconds. Find.
Source: www.numerade.com
Write The Rational Expression In Simplest Form Calculator - The simplification calculator allows you to take a simple or complex expression and simplify and reduce the expression to it's simplest form. Get the free simplifying rational expressions widget for your website, blog, wordpress, blogger, or igoogle. The rational expression calculator is a free online tool that displays the rationalized form for the given expression. This calculator factor both the.
Source: flatworldknowledge.lardbucket.org
Write The Rational Expression In Simplest Form Calculator - This calculator factor both the numerator and denominator completely then reduce the expression by canceling common factors. Find more mathematics widgets in. The simplification calculator allows you to take a simple or complex expression and simplify and reduce the expression to it's simplest form. Get the free simplifying rational expressions widget for your website, blog, wordpress, blogger, or igoogle. The.
Source: www.numerade.com
Write The Rational Expression In Simplest Form Calculator - Find more mathematics widgets in. Get the free simplifying rational expressions widget for your website, blog, wordpress, blogger, or igoogle. The rational expression calculator is a free online tool that displays the rationalized form for the given expression. This calculator factor both the numerator and denominator completely then reduce the expression by canceling common factors. The result is displayed in.
Source: www.numerade.com
Write The Rational Expression In Simplest Form Calculator - This calculator factor both the numerator and denominator completely then reduce the expression by canceling common factors. Get the free simplifying rational expressions widget for your website, blog, wordpress, blogger, or igoogle. Byju’s online rational expression calculator tool makes calculations faster and easier. The rational expression calculator is a free online tool that displays the rationalized form for the given.
Source: www.numerade.com
Write The Rational Expression In Simplest Form Calculator - Get the free simplifying rational expressions widget for your website, blog, wordpress, blogger, or igoogle. To solve a rational expression start by simplifying the expression by finding a common factor in the numerator and denominator and canceling it. This calculator factor both the numerator and denominator completely then reduce the expression by canceling common factors. Byju’s online rational expression calculator.
Source: www.numerade.com
Write The Rational Expression In Simplest Form Calculator - This calculator factor both the numerator and denominator completely then reduce the expression by canceling common factors. Get the free simplifying rational expressions widget for your website, blog, wordpress, blogger, or igoogle. Find more mathematics widgets in. Byju’s online rational expression calculator tool makes calculations faster and easier. To solve a rational expression start by simplifying the expression by finding.
Source: www.numerade.com
Write The Rational Expression In Simplest Form Calculator - The rational expression calculator is a free online tool that displays the rationalized form for the given expression. Byju’s online rational expression calculator tool makes calculations faster and easier. This calculator factor both the numerator and denominator completely then reduce the expression by canceling common factors. The result is displayed in a fraction of seconds. Find more mathematics widgets in.
Source: www.chegg.com
Write The Rational Expression In Simplest Form Calculator - Get the free simplifying rational expressions widget for your website, blog, wordpress, blogger, or igoogle. The result is displayed in a fraction of seconds. Byju’s online rational expression calculator tool makes calculations faster and easier. To solve a rational expression start by simplifying the expression by finding a common factor in the numerator and denominator and canceling it. Find more.
Source: www.numerade.com
Write The Rational Expression In Simplest Form Calculator - Get the free simplifying rational expressions widget for your website, blog, wordpress, blogger, or igoogle. Find more mathematics widgets in. The rational expression calculator is a free online tool that displays the rationalized form for the given expression. To solve a rational expression start by simplifying the expression by finding a common factor in the numerator and denominator and canceling.